
该论文发表于Medical Image Analysis(中科院1区,IF= 10.7),题目为《Multi-task learning based structured sparse canonical correlation analysis for brain imaging genetics》。
韩国加图立大学的Mansu Kim为此文第一作者。宾夕法尼亚大学佩雷尔曼医学院的Li Shen为此文的通讯作者。
论文链接:https://www.sciencedirect.com/science/article/pii/S136184152100342X
论文概要
脑成像技术和高通量基因数据获取技术的进步使得研究者可以获取大量的多模态数据。尽管稀疏典型相关分析是一种强大的用于特征选择的双多变量关联分析技术,但在实际研究中整合多模态成像遗传数据和获得对成像遗传结果有生物学意义的解释方面仍然面临重大挑战。在本研究中,作者提出了一种新的基于多任务学习的结构化稀疏典型相关分析( MTS2CCA ),以提供可解释的结果,并提高成像遗传学研究中的集成。我们在模拟和真实的成像基因数据上与最先进的竞争方法进行了比较研究在模拟数据上,我们提出的模型在典型相关系数、估计精度和特征选择精度方面都取得了最好的性能。在真实的成像基因数据上,我们提出的模型揭示了与睡眠相关的单核苷酸多态性和脑区的有希望的特征。所识别的特征可用于使用有前途的影像学遗传生物标志物来改善临床评分预测。作者设想的未来方向是将论文方法应用到其他的神经或精神疾病队列中,例如阿尔茨海默症或帕金森症患者,以证明论文方法的可推广性。
研究背景
随着高通量基因测序和神经影像技术的飞速发展,脑成像遗传学(Brain Imaging Genetics)已成为连接遗传变异与脑表型的重要交叉学科。其核心目标是通过整合基因数据(如单核苷酸多态性,SNP)和多模态脑成像数据(如功能磁共振成像fMRI、结构磁共振成像sMRI、扩散磁共振成像dMRI),揭示遗传因素如何影响大脑结构与功能,进而解析神经系统疾病(如阿尔茨海默病、精神分裂症)的生物学机制。然而,这一领域面临以下关键挑战:
- 现有方法多局限于双模态分析,难以同时处理多模态成像数据。
- 传统模型未充分利用先验生物结构(如基因的连锁不平衡块、脑功能网络),导致特征选择结果难以解释。
- 在高维小样本数据下,现有方法易过拟合,且对低相关性信号的捕捉能力有限。
- CCA模型存在由于数据的高维性导致过拟合的风险较高的缺陷。
方法与结果分析
针对上述挑战,论文提出基于多任务学习的结构化稀疏典型相关分析(MTS2CCA)模型,通过多任务学习同时分析多模态成像数据(如fMRI和dMRI),并共享遗传数据的特征表示。引入GraphNet惩罚项,利用基因的连锁不平衡(LD)矩阵和脑网络结构,约束权重矩阵,提升生物学合理性。设计交替迭代重加权算法(Alternating Iteratively Reweighted Algorithm),理论证明其收敛性,并实现高效计算。
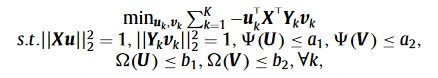
MTS2CCA的模型定义如下:

其中,Ψ和Ω是控制稀疏性和纳入有意义的生物结构的惩罚函数。提出MTS2CCA的原因如下。首先,多任务框架是一种高效和有良好鲁棒性的方法,可以将不同的成像模式一起学习。通过对两个典型权重矩阵(即U和V)施加l2,1范数正则化,该模型可以同时学习多个影像遗传学关联对。这有助于模型识别与同一脑区多模态成像测量相关的共同遗传标记。其次,图形传输网惩罚基于先验网络信息鼓励典范加载向量中的相关元素具有相似性。因此,我们使用图形传输网惩罚来融合先验网络信息。
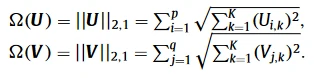
通常,使用公共坐标空间和单脑图谱提取来自不同模态的成像测量。尽管每种成像模态可能捕获不同的大脑表型,但由于结构-功能的耦合,这些多模态测量具有密切的关系。例如,许多研究报道结构网络可以提供功能网络的主干,结构-功能网络耦合与高阶认知过程相关。因此文章提出了一种算法,在每个区域的所有多模态测量上使用l2范数来处理共线性,然后应用l1范数来选择相关的区域。l2,1范数惩罚的形式定义如下:

因此,在这项工作中,作者对成像规范权重矩阵(即V )施加l2,1范数惩罚,以选择考虑多模态成像测量的共同特征,还对遗传正则权重矩阵(即U )施加惩罚,以学习和选择每个成像模态对应的遗传成分。
除此之外,许多研究人员证明,可以使用大脑和基因组中有意义的网络结构来建模SNPs和脑成像特征。这些全面的网络数据有助于提高每个模态中有意义的生物标志物的识别。因此,引入一个图形传输网惩罚来包含这些信息,定义如下:

式中,矩阵Lu和Lvk分别为基因组和多模型脑成像中网络结构的图拉普拉斯算子。图的拉普拉斯算子定义为L = D-A,其中D是网络A的度矩阵。这种正则化鼓励当网络中的节点具有高连通性时,其权重或系数是相等或相似的。
论文提出了一种交替迭代重加权的方法来获得方程中的U和V。MTS2CCA的优化算法如下:

(1)仿真实验结果:
研究人员应用嵌套五折交叉验证策略来检验模型的性能。表1中比较了典型相关系数(CCC)的训练和测试性能。当真实CCC为高(X vs. Y1)时,所有方法普遍表现良好。当真实CCC为中等(X vs. Y2)时,多任务CCA模型(MTS2CCA、MTGSCCA、MTSCCA和JCBSCCA)优于单任务CCA模型。当真实CCC极低(X vs. Y3)时,所提出的模型优于所有竞争方法。

论文比较了模型的参数敏感性。通过改变参数从0.01到100来测量CCC,比例因子为10,将其余参数固定1。如图1所示,对于除TCCA外的所有方法,CCC曲线稳定且对β1不敏感,这控制了数据集X的稀疏性。然而,对于β2,CCC曲线从100或更高下降,这控制了数据集Y的稀疏性。在TCCA中,CCC曲线稳定且对β1和β2都不敏感。对于MTS2CCA和JCBSCCA,CCC曲线看起来是稳定的,并且对λ1和λ2不敏感,其中它控制了数据集X和Y的网络信息融合水平。对于MTGSCCA,CCC曲线随着λ的增加而下降;Λ控制了数据集X的合并组结构的水平。这些发现表明,与GroupLasso相比,具有图形传输网惩罚的CCA在合并先验知识方面更稳定。带有l2,1正则项的CCA和Fused Lasso对多模态数据集成设置都比较敏感。

作者通过计算曲线下面积( AUC )来评估各种CCA模型的特征选择精度。结果表明,多任务CCA模型对信号的检测性能优于单任务CCA模型,如表2所示。具体来说,多任务CCA模型对低相关水平具有鲁棒性,而SCCA和TCCA则不具有鲁棒性。

图3显示出,除TCCA外,其他方法之间在运行时间上无显著性差异。除TCCA和SCCA外,各方法在内存使用上无显著性差异,验证了所提算法的有效性和高效性。

(2)真实影像遗传学数据上的实验结果:
在真实数据实验中,作者收集了神经影像学数据,包括静息态功能磁共振成像(rs-fMRI)和扩散加权磁共振成像(dMRI),以及来自HCP数据库的291名参与者的基因分型数据。
作者评估了所提出的基于典型相关系数(CCC)的多任务成像遗传学关联模型,包括SNPs与fMRI之间的关联( SNP-fMRI )和SNPs与dMRI之间的关联( SNP-dMRI )。表4和表5展示了各种最先进的CCA模型计算的多任务成像遗传关联的训练和测试CCC。对于SNP - fMRI关联,与TCCA和SCCA相比,MTS2CCA、MTGSCCA、MTSCCA和JCBSCCA得到最优异的训练CCC和相对良好的测试CCC。MTS2CCA在SNP - dMRI和SNP - fMRI任务上都表现出最高的测试CCC。


如表6所示,MTS2CCA在RMSE和CC方面优于三个多任务CCA模型以及单任务CCA模型,具有更高的典型相关系数和更好的预测性能估计PSQI评分。

实验结果表明,使用来自真实影像遗传学数据证明了所提模型的临床益处。确定的MTS2CCA的影像学标志物与认知功能、抑郁和睡眠剥夺相关。此外,鉴定到的MTS2CCA的遗传标记与睡眠质量和睡眠时间相关。这些结果表明,所提出的基于多任务学习的SCCA框架可以为分析脑成像遗传学数据并产生具有生物学意义的发现提供强有力的工具。
结论
在这项研究中,研究人员提出了一种新的基于多任务学习的结构化稀疏典型相关分析( MTS2CCA ),以提供可解释的结果,并提高影像遗传学研究的集成度。我们在模拟和真实的成像遗传学数据上测试了论文的算法。对于模拟数据,论文证明了所提出的模型在识别更强的典型相关性、估计精度和特征选择精度方面优于几种最先进的竞争方法。此外,MTS2CCA成功地识别了由预定义的网络结构产生的关联模式。论文的研究使用来自真实影像遗传学队列的SNP、dMRI和fMRI数据证明了所提模型的临床益处。MTS2CCA优于所有对比模型,具有更高的典型相关系数和更好的预测性能估计PSQI评分。论文也确定的MTS2CCA的影像学标志物与认知功能、抑郁和睡眠剥夺有关。此外,鉴定到的MTS2CCA遗传标记与睡眠质量和睡眠时间相关。这些实验结果表明,所提出的基于多任务学习的SCCA框架可以为分析脑成像遗传学数据并产生具有生物学意义的发现提供强有力的工具。
原文链接
https://www.scholat.com/teamwork/showPostMessage.html?id=17021