
Paper:https://arxiv.org/abs/2302.02318
Code:https://github.com/qizekun/ReCon
导读
本文介绍一下在 3D 表征学习上的新工作,ReCon: Contrast with Reconstruct,通过生成式学习指导对比学习实现高效的3D表征,在ScanObjectNN上实现91.26%的OA,在ModelNet40实现66.8%的Zero-Shot精度,以及多项SOTA,代码已开源。

引言
我们知道,3D点云长期遭受着严重的数据缺乏问题,常用的ModelNet40、ShapeNet数据集仅包含14k与51k的数据,这与2D或图文多模态上动辄14M、300M甚至5B的超大规模数据形成巨大对比。因此,如何在有限的数据上高效的提取3D表征成为我们的研究动机,我们从Generative和Contrastive两大主流的自监督框架入手进行分析。

我们首先研究了MPM(Masked Point Modeling)、CMC(Cross-modal Contrastive)和SMC(Single-modal Contrastive)等预训练方法对Pretrain数据的依赖性,我们在ShapeNet上进行预训练,并在ScanObjectNN上测试迁移性能,结果在图(a)中展示。我们发现:
Contrastive方法具有Over-fitting问题
当缺乏预训练数据(<90%)时,Contrastive模型无法带来泛化性能,而Generative模型仅需大约25%的数据就可以给下游任务带来显著的性能提升。这表明,对比学习很容易找到表征捷径来过度拟合有限的数据 [1],而生成式模型对数据的依赖程度较低,可以用很少的数据学习到良好的初始化。
Generative方法具有Data filling问题
当预训练数据扩大时,对比学习呈现出更好的潜在能力,而生成模型在提供更多数据时只带来较小的性能提升(从75%提升到100%的数据对下游任务的改善并不明显)。这表明,当预训练数据足够时,对比学习可以为生成模型带来更强的数据扩展能力。在2D中,对比学习模型 [2]在下游任务的效果超越了扩展能力较弱的生成模型 [3]。
我们还研究了MPM(Masked Point Modeling)、CMC(Cross-modal Contrastive)在感受野和注意力区域上的区别,类比2D中ViT的Average Attention Distance [4],我们根据3D patch中心之间的欧式距离和attention map权重来生成3D Average Attention Distance,结果在图(b)中展示。我们观察到一个模式差异问题,即对比模型的注意力主要集中在全局领域,其注意力距离逐步上升并趋于一个较高值,而生成模型对集中的局部注意力有兴趣,这与Xie等人在2D的观察结果一致 [5]。
如何有效地结合Contrastive和Generative方法,并且规避其在注意力模式上的区别成为我们工作的motivation。
知识蒸馏——对比式和生成式的统一理论

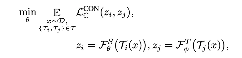
- 对比学习通过对统一样本数据的不同view进行拉进、不同样本的view进行推远来促使模型学习深层次的知识,这里的view可以是单模态 [6],也可以是多模态的 [7], 其本质上相当于在feature map或logits上相互提供监督信号来寻找全局语义上的联系,即不同view下特征的蒸馏。

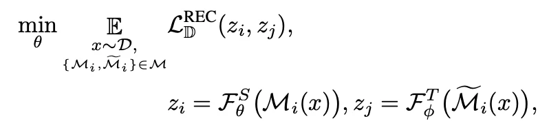
- 生成式模型通过denoising autoencoder的方式,对数据样本施加扰动(例如mask),并设置数据样本的某一种view(例如pixel [3]、VQ code [8]、HOG特征 [9]等等)作为teacher提供监督信号。其本质在于迫使模型学习局部特征的相互关系来实现对教师特征的对齐。

在知识蒸馏的视角下,我们统一了Contrastive和Generative两种自监督范式,由此引申出ReCon模型,通过多教师蒸馏与学生协同学习下的自监督模型(student-teacher knowledge distillation with student-student assistance)。Local teacher通过局部语义的复原来使Local student学到丰富的局部知识,Local student向Global student提供局部知识以帮助其全局知识的学习。在细节上,二者使用不同的Transformer Attention架构来规避注意力模式的差异。关于生成式学习的形式,可以类似于BEiT [8]、ACT [10]通过Tokenizer生成语义token用于重建,即使用Tokenizer作为Teacher监督,也可以类似于MAE [3]、PointMAE [11]直接重建源数据,即使用Identity作为Teacher监督。而关于对比学习的形式,可以类似于CLIP [7]进行跨模态之间的对比学习,也可以类似于SimCLR[6]、PointContrast [12]进行单模态的对比学习。
方法

我们在主图展示了ReCon的encoder-decoder框架,其中Point Identity作为Local 3D Point Cloud Encoder教师,跨模态预训练模型作为Global 3D Point Cloud Decoder教师,这种配置在后续的消融实验被验证有最优的效果。我们使用timm [13]或CLIP [7]的视觉编码器作为ReCon的2D Teacher,CLIP的文本编码器作为ReCon的Text Teacher,并在后续的消融实验发现freeze parameter有利于知识的迁移。对于Local 3D Point Cloud Encoder,我们完全采用MAE式的非对称结构,来防止位置编码在点云重建中可能附有的知识泄露。

在模型结构上,我们使用了类似BART [14]的encoder-decoder结构,每个Stream在一个layer中均包含一个Attention层与FFN层,其中encoder的inputs embeding产生Cross Attention的K与V,并使用stop-grad来防止梯度干扰。由于global queries一般仅包含少量的几个token,在运算效率上并不会比单流网络增加很多。
实验
我们的ReCon在点云分类最常用的两个数据集ScanObjectNN和ModelNet40均取得了SOTA的性能,尤其是在ScanObjectNN的迁移效果,达到了惊人的91.26% Overall Accuracy。

此外,我们将ReCon分为三种设置,ReCon-T、ReCon-S和ReCon,他们的模型结构完全一样,仅有模型维度上的区别。即使使用了更小维度的ReCon依然产生了优异的性能,拥有19M甚至11M参数的ReCon依然大幅度优于PointMAE等3D自监督方法。

如果进一步利用Pretrain Text Teacher,可以实现Zero-Shot分类,下表展示了ReCon在ModelNet40上的Zero-Shot性能,同样远超其他方法。

讨论
ReCon优良性能的来源?
我们首先从loss的角度进行分析,我们记录了vanilla CMC(Cross-Modal Contrastive)与我们的经过重建指导的ReCon-CMC在ShapeNet测试集(未用于预训练)的loss曲线,并记录了在ScanObjectNN上的相应微调精度。可以看出,我们的ReCon-CMC的测试对比损失始终低于普通的CMC,并且更加稳定地收敛到较低的值,表明我们的ReCon带来了更好的预训练对比任务的泛化性能,而不会陷入简单解决方案的捷径,预训练过程中的过拟合问题得到缓解。

此外,我们也对不同token的attention map进行了可视化分析,包括Local Student Encoder的局部token与Global Student Decoder的全局Query,我们用红色的圆圈将查询Token圈出,红色和黄色区域代表注意力的重点区域,青色和紫色区域为注意力的忽视区域。可以看出,3D点云中的Local Token更多地关注Token本身周围的几何结构,而Global Query则关注对象的整个部分。甚至,局部表征可能已经学会了对称性的一些几何理解或世界知识。例如,飞机左翼上的Token也注意到了右翼。此外,Global Image和Text Query可能学到了一些互补的知识。

是否Pretrained Cross-Modal Teacher is all your need?

为验证模型的收益并不来自教师,而是因为ReCon结构是一种优良的Generative learning和Contrastive learning结合方法,我们在论文的附录C中探究了另外两种掩码数据建模和对比学习结合的方法,包括Vanilla Multi-task Learning Fusion和Two-Tower Network,他们都用了包含预训练权重的跨模态教师来做指导。
- vanilla multi-task通过添加多个类似于[cls] Token的nn.Parameters() token用于进行对比学习
- two-tower network通过两个单独的Transformer训练各自的代理任务
经过实验,简单的将包含预训练权重的跨模态知识进行传递并不会产生效果,我们猜测这是引言所表现出的模式差异所导致的,即Local-Global的注意力模式差异与数据缺乏导致的过拟合问题。而这种模式差异正是我们设计ReCon block的动机。

展望
ReCon大幅提升了3D表征学习的效果,在点云分类与Zero-Shot中均取得了SOTA的性能。但我们认为ReCon发现并解决的问题并不是在3D中特有的,在其他缺乏数据,或相对缺乏数据的模态中依然有可能有效,我们希望有更多ReCon-Style的架构在更多领域出现。
欢迎大家关注作者的其他相关工作:
参考资料
https://mp.weixin.qq.com/s?__biz=MzU1MzY0MDI2NA==&mid=2247500849&idx=1&sn=667caf0850ee40f534cd32933e9cf2ac
[1] Shortcut learning in deep neural networks
[2] CLIP Itself is a Strong Fine-tuner: Achieving 85.7% and 88.0% Top-1 Accuracy with ViT-B and ViT-L on ImageNet
[3] Masked autoencoders are scalable vision learners
[4] An image is worth 16x16 words: Transformers for image recognition at scale
[5] Revealing the dark secrets of masked image modeling
[6] A simple framework for contrastive learning of visual representations
[7] Learning transferable visual models from natural language supervision
[8] Beit: Bert pre-training of image transformers
[9] Masked feature prediction for self-supervised visual pre-training
[10] Autoencoders as Cross-Modal Teachers: Can Pretrained 2D Image Transformers Help 3D Representation Learning?
[11] Masked autoencoders for point cloud self-supervised learning
[12] Pointcontrast: Unsupervised pre-training for 3d point cloud understanding
[13] PyTorch Image Models
[14] Bart: Denoising sequence-to-sequence pre-training for natural language generation, translation, and comprehension