动机
独立同分布与白化
独立同分布
独立同分布:independent and identically distributed
- 强相关:Naive Bayes 模型就建立在特征彼此独立的基础
- 弱相关:Logistic Regression 和 神经网络 则在非独立的特征数据上依然可以训练出很好的模型
独立同分布的数据可以简化常规机器学习模型的训练、提升机器学习模型的预测能力
白化
【数据预处理步骤】
去除特征间的相关性 -> 独立
使所有特征具有相同的均值和方差 -> 同分布
ICS
什么叫做“Internal Covariate Shift”呢? 看一下下图所示的sigmoid函数图:

可以看出当x值在0附近时,其导数较大,靠近两边时导数很小。而在深度神经网络中,如果不加以约束,则激活函数的输入值很容易向两边偏移,导致导数变小,这样会使得网络训练变慢,而且逐层累乘后还会产生梯度消失现象。所以normalization的作用相当于数据在经过每层时都将它拉回为一个统一分布。
深度神经网络涉及到很多层的叠加,而每一层的参数更新会导致上层的输入数据分布发生变化,通过层层叠加,高层的输入分布变化会非常剧烈,这就使得高层需要不断去重新适应底层的参数更新。为了训好模型,我们需要非常谨慎地去设定学习率、初始化权重、以及尽可能细致的参数更新策略。
模型训练对于数据的一个假设:“源空间(source domain)和目标空间(target domain)的数据分布(distribution)是一致的”。如果不一致,那么就出现了新的机器学习问题,如 transfer learning / domain adaptation 等。而 covariate shift 就是分布不一致假设之下的一个分支问题,它是指源空间和目标空间的条件概率是一致的,但是其边缘概率不同
ICS(每个神经元的输入数据不再是“独立同分布”)导致的后果:
- 上层参数需要不断适应新的输入数据分布,降低学习速度
- 下层输入的变化可能趋向于变大或者变小,导致上层落入饱和区,使得学习过早停止
- 每层的更新都会影响到其它层,因此每层的参数更新策略需要尽可能的谨慎
ICS带来的后果
- 上层参数需要不断适应新的输入数据分布,导致学习速度下降
- 下层输入的变化可能趋于变大或变小,导致上层落入饱和区,从而学习过早停止
- 每层的更新都会影响到其他层,因此每层参数更新策略需要尽可能谨慎
Normalization
通用框架与基本思想
假设神经元的输入:

输出的结果:

ICS 问题:X 的分布可能相差很大
解决方法:
- 方法:对每一层的数据做白化操作
- 存在问题:成本高,因为要保证白化操作是可微的
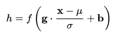
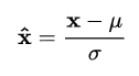
基本思想:在将 x 送给神经元之前,先对其做平移和伸缩变换,将 x 的分布规范化成在固定区间范围的标准分布
变换框架:(μ:平移参数,δ:缩放参数)

步骤:
- 对 x 进行 shift 和 scale 变换,得到的数据符合均值为 0、方差为 1 的标准分布

- b 是再平移参数(re-shift parameter),g 是再缩放参数(re-scale parameter),再进一步变换,得到的数据符合均值为 b 、方差为 g² 的分布

Batch Normalization
是什么
Batch Normalization(纵向规范化)
论文:Batch Normalization: Accelerating Deep Network Training by Reducing Internal Covariate Shift
从论文名字就可以看出,BatchNorm技术是用来加速网络训练的,手段就是通过“Reducing Internal Covariate Shift(减小内部协变量偏移)”
BatchNorm的缺点:
- 需要较大的batch以体现整体数据分布
- 训练阶段需要保存每个batch的均值和方差,以求出整体均值和方差在infrence阶段使用
- 不适用于可变长序列的训练,如RNN

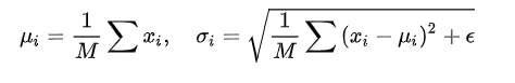
方式:针对单个神经元进行,利用网络训练时一个 mini-batch 的数据来计算该神经元 𝓍ᵢ 的均值和方差,因而称为 Batch Normalization,其中 M 是 mini-batch 的大小。

batch normalization过程如下:

其中 𝓍ᵢ 是线性激活值。首先求出均值和方差,之后再减去均值、除以方差。参数 ε 应该是为了防止因为方差接近0而使得除以0无限大的问题,所以在pytorch中 ε 是一个比较小的值:1e-5。为了防止网络表达性下降,又在normalization之后添加一个逆变换,即将 𝓍 乘以一个缩放值 γ 并加上一个偏移量 β,其中 γ 和 β 都是可学习参数。
因此,normalization其实更像是另一个神经网络层,因为有可学习参数存在,但是参数量相对来说是极少的,与线性变换中 y = wx + b 的 b 参数量一致,为神经元个数。
适用的场景
每个 mini-batch 比较大,数据分布比较接近。在进行训练之前,要做好充分的 shuffle,否则效果会差很多。
存在什么问题
BN 独立地规范化每一个输入维度 𝓍ᵢ,但规范化的参数是一个 mini-batch 的一阶统计量和二阶统计量。这就要求每一个 mini-batch 的统计量是整体统计量的近似估计,或者说每一个 mini-batch 彼此之间,以及和整体数据,都应该是近似同分布的。
分布差距较小的 mini-batch 可以看做是为规范化操作和模型训练引入了噪声,可以增加模型的鲁棒性;但如果每个 mini-batch 的原始分布差别很大,那么不同 mini-batch 的数据将会进行不一样的数据变换,这就增加了模型训练的难度。
由于 BN 需要在运行过程中统计每个 mini-batch 的一阶统计量和二阶统计量,因此不适用于动态的网络结构和RNN网络。
- BN 特别依赖 Batch Size。当 Batch size 很小的时候,BN 的效果就非常不理想了。在很多情况下,Batch size 大不了是因为你GPU的显存不够。所以通常会有其他比较麻烦的手段去解决这个问题,比如 MegDet 的 CGBN 等
- BN对处理序列化数据的网络比如 RNN 是不太适用的
- BN只在训练的时候用,inference的时候不会用到,因为inference的输入不是批量输入
Layer Normalization
是什么
Layer Normalization(横向规范化)

方式:综合考虑一层所有维度的输入,计算该层的平均输入值和输入方差,然后用同一个规范化操作来转换各个维度的输入。

其中 i 枚举了该层所有的输入神经元。对应到标准公式中,四大参数 μ, δ, g, b 均为标量(BN中是向量),所有输入共享一个规范化变换。
有什么用
LN 针对单个训练样本进行,不依赖于其他数据,因此可以避免 BN 中受 mini-batch 数据分布影响的问题,可以用于 小mini-batch场景、动态网络场景和 RNN,特别是自然语言处理领域。此外,LN 不需要保存 mini-batch 的均值和方差,节省了额外的存储空间。
LayerNorm 克服了 BatchNorm 的缺点,在特征维度进行归一化,对每个 Batch 有一个均值和方差,因此不依赖于 batch 大小,即使 batch 为 1 也能使用。
LayerNorm 只是归一化的维度与 BatchNorm 有所区别,但是其他区别不大。LayerNorm 中也存在 γ 和 β 可学习参数,并且 γ 和 β 是在特征维度进行,而不是在 Batch 维度。
例如 input 是 batch × seq_len × hidden,则 Layer 首先在 hidden 维度求出 batch × seq_len 个标准差和均值,再使用它们进行归一化,但 γ 和 β 只有 hidden 个,因此 LayerNorm 归一化之后的缩放是在特征维度上进行。
具体使用
使用numpy实现LayerNorm
1 | a=array([[[-0.66676328, -0.95822262, 1.2951657 , 0.67924618], |
Pytorch的LayerNorm
1 | import torch.nn.functional as F |
Pytorch LayerNorm添加缩放
的确是只在特征维度进行缩放
1 | w = torch.tensor([1,1,2,2]) |
BN vs LN
BN 的转换是针对单个神经元可训练的————不同神经元的输入经过再平移和再缩放后分布在不同的区间,而 LN 对于一整层的神经元训练得到同一个转换————所有的输入都在同一个区间范围内。如果不同输入特征不属于相似的类别(比如颜色和大小),那么 LN 的处理可能会降低模型的表达能力。
Normalization 为何有效

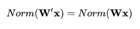
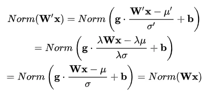
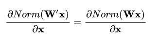
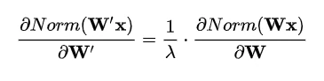
权重伸缩不变性
介绍:权重 W 按照常量 λ 进行伸缩时,得到的规范化后的值保持不变(其中:W’ = λW)

原因:当权重 W 伸缩时,对应的均值和标准差均等比例伸缩,分子分母相抵。

优点:权重伸缩不变性可以有效地提高反向传播的效率

注:因此,权重的伸缩变化不会影响反向梯度的 Jacobian 矩阵,因此也就对反向传播没有影响,避免了反向传播时因为权重过大或过小导致的梯度消失或梯度爆炸问题,从而加速了神经网络的训练。
权重伸缩不变性还具有参数正则化的效果,可以使用更高的学习率。

因此,下层的权重值越大,其梯度就越小。这样,参数的变化就越稳定,相当于实现了参数正则化的效果,避免参数的大幅震荡,提高网络的泛化性能。
数据伸缩不变性
介绍:当数据 x 按照常量 λ 进行伸缩时,得到的规范化后的值保持不变(注:x’= λx)

优点:数据伸缩不变性可以有效地减少梯度消失,简化对学习率的选择
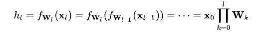
对于某一层神经元:

可得:

每一层神经元的输出依赖于底下各层的计算结果。如果没有正则化,当下层输入发生伸缩变化时,经过层层传递,可能会导致数据发生剧烈的膨胀或者弥散,从而也导致了反向计算时的梯度爆炸或梯度消失。
加入 Normalization 之后,不论底层的数据如何变化,对于某一层神经元而言,其输入 𝓍ᵢ 永远保持标准的分布,这就使得高层的训练更加简单。从梯度的计算公式来看:

数据的伸缩变化也不会影响到对该层的权重参数更新,使得训练过程更加鲁棒,简化了对学习率的选择。
参考资料
https://blog.csdn.net/qq_34467412/article/details/104656266
https://jishuin.proginn.com/p/763bfbd5641b