- CS231n - Introduction to Neural Net
反向传播
计算图实例
- SVM
- AlexNet卷积神经网络
- 神经网络图灵机
反向传播–链式求导法则(核心)
- 实例1:一个简单的计算

- 实例2:一个相对复杂的计算

如果知道sigmoid函数的求导公式,那么可以极大地简化该过程

- 神经网络中的反向传播在分支处通过一级级的链式法则求导,使用当前已有的前后值替代。

- 反向传播在每一个分支点的操作:加法,分发下去;Max,路由选择,选中的相同,未选中的0;乘法,梯度转换。

- 计算图向后分支的反向传播为相加

向量的梯度计算–雅克比矩阵逆推
- 以max函数为例
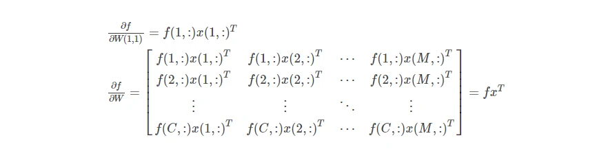
实际上max函数的矩阵是一个单位矩阵上,在对角线上max取值正确的为1,错误的为0,反向求导赋予就很方便;因此不需要求雅克比矩阵的所有维度,实际上1个mini-batch的大小为100,矩阵可能为 409600 * 409600,这样一个维度较大,超出内存。实际上并不需要去求一个矩阵,见下面这个例子。 - 以二次平方项为例
如上图可见,实际上在反向传播过程,大部分使用的前向函数参数的转置就ok。
- 以max函数为例
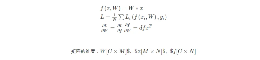
公式法+一步步逆推讲解矩阵乘法运算
实际上对于一个包含scores和loss函数的公式及求响应的∂L/∂W如下:

那么只对于单纯的一个f值而言,那么满足如下公式:

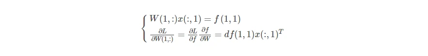
那么只对W(1,1)求导而言,f的所有1行都包含对W(1,1)与x一行的乘积,而f中的每个值都是W的一行和x的一列的乘积,无法单纯的表示w(1,1),但是如果求df/dw(1,1),由于线性其他项消失,只剩下x(1,:),因此满足一下公式:

SVM梯度函数推导过程
Softmax梯度函数推导过程
系统结构与框架平台介绍
1 | ##SVM梯度矩阵表示 |
2层神经网络
2层神经网络

传统的1层神经网络能够对前面的图片进行h层的特征处理,第2层可以对经过h层的特征处理
一个2层神经网络的训练代码可能仅仅需要20行,具体的代码训练在assignment1中
一个神经网络与实际神经网络的关系,树突相当于每层的汇聚,轴突相当于激活后的传输:

对于每一个神经元会使用激活函数,将线性的结果转换为[0,1]之间,有利于压缩结果的空间,因为实际上神经元识别是有上限的。常用的激活函数有:Sigmoid、Tanh、ReLU、LeakyReLU、Maxout、ELU,各有优缺点

常见的2、3层神经网络结构如下:

总结
神经网络不是真的神经元,是一种仿真的结果,或者说是给神经网络的结构一个合理的解释
神经网络越大越好,层数越多越好,这个不完全成立,要看实际的情况。太大太深的网络容易过拟合(需要正则化),训练时间过长(无法解决);当使用简单的数据时,深度起到的作用较少,每特征提取有限
用好已有的框架结构,将会极大地减小工作量