本篇的学习报告的内容是为:音乐的情绪识别,所参考的文献是《Influence of music liking on EEG based emotion recognition》,音乐喜好的影响(这取决于个人偏好)以及对诱发情绪的评价往往被忽视。这项工作提出了一个新的研究影响利用信号处理和模式识别框架对觉醒、效价和优势的喜爱。情感采用特征级融合和特征选择的方法进行识别和一个分类器。特征来源于脑电的小波分解,成对功能连接,以及分别反映单个电极、电极对和脑网络拓扑特性的图论测量方法。在这里,分类是在三种不同的音乐喜好情况下,在唤醒、效价和支配等级的高/低类别之间进行的。研究表明,激励、效价和优势的分类表现分别为22.50%、14.87%和分别高于经验机会水平19.44%。融合框架相对放弃5%对单个功能的改进, 同时喜好对分类性能有影响还有这些量表中情绪体验的时间动态。我们观察到一个倒U型关系喜好程度和觉醒程度与优势分类表现之间的关系。我们还分析了特性电极使用和大脑活动的特定方面在不同的喜好水平,这揭示了重要性情绪识别中的高频波段和半球特征。
光谱特征
在脑电信号分析中,经常使用功率谱密度分析,在分析功率谱密度时,使用傅里叶变换将脑电信号映射到频域的值,使用n秒样本的方法计算出脑电信号的平均功率谱作为特征。
EEG信号可以在多个时间和频率尺度上进行研究使用时频分解。连续的和离散的小波变换被广泛应用于信号分析中时频分解。直观地说,短时小波变换之间的相关(内积)波(小波)与信号,在每个实例的时间点多处相似导致结果小波系数的较大幅度。例如在连续小波变换中使用Morlet小波变换时,用复正弦信号进行相关。在这个采用双树复小波包变换(DT-CWPT)将脑电信号分解为低频和高频分量,通过迭代产生多个子带。DT-CWPT使用多重完美重构(PR)滤波器组(FBs),效果良好频率分辨率可以达到整个频率范围适当选择分解的层次数。随着顾名思义,DT-CWPT返回复值时间序列DT-CWPT系数)在每个子带中,其中实带和虚带部分系数是希尔伯特变换对。因此,DT-CWPT系数在本质上是解析性的,它们同时提供了这两者幅值和相位信息。与连续小波相比离散小波变换提供了稀疏和更紧凑的变换信号的表示。在双树复小波变换(DT-CWT)和DT-CWPT之间,DT-CWPT提供了一个专业的优势。而DT-CWT仅在低分辨率时提供高频分辨率在子频带中,DT-CWPT在整个频率范围内都保持这种分辨率,因为信号在低频段和高频段都进行了分解每一层的子带。
DEAP数据集
DEAP数据集包含32通道EEG和少量外设当32名受试者观察40个人时,记录下了他们的生理信号选择1分钟音乐视频片段。严格的刺激选择方法:选取时长均为60 s的视频。每一个在试验中展示了视频,包括2秒的进度显示,5秒的基线记录,然后是60年代的录像和自我评估感受到的情绪。参与者报告了每个人的情感感受关于觉醒(平静到兴奋),效价(不愉快到愉快)的视频,支配性(服从于支配性),喜欢性(不喜欢到喜欢),以及熟悉程度(从陌生到熟悉)。主观评分是连续,范围从1(低)到9(高)。采用截止频率为4和45hz的带通滤波器对脑电信号进行预处理。使用盲源分离去除眼动伪影技术,最后下采样到128hz的采样频率。在这项研究中,我们正在调查音乐喜好对孩子的影响情感识别。在研究对象中,这些试验得到了很高的好感。

结论
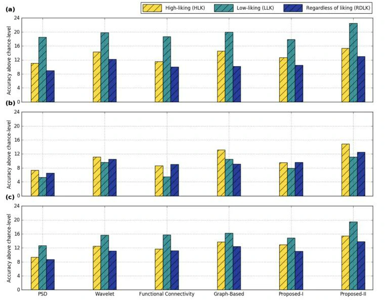
在本研究中,我们探讨了在唤起、效价、显性维度上,喜好对情绪认知的影响。为此,我们提出了一种新的特征级融合的三种特征,分别是:小波,功能连接性和图论为基础。这些特征代表了大脑对单电极(小波)的反应特征、对电极之间的相互作用(连通性)和结构特征大脑网络的性质(基于图论)。我们观察到唤起和支配的诱导情绪的大脑模式与喜欢程度高的音乐视频相比,喜欢程度低的音乐视频的人更有辨别能力,而不喜欢音乐视频的人则更有辨别能力是为了高人气的视频。提出了所有三个特征的融合与单个功能相比,显著提高了性能。此外,我们利用移动窗口方法评估了情绪分类性能的时间演变,发现HLK的觉醒和支配表随时间增加而增加p值< 0.05时,这一增加量显著。接下来,功能和电极的使用揭示了高频波段和高频波段的重要性情绪识别中的半球特征。最后,低喜好组和高喜好组大脑活动的统计学差异表明了高频带的参与。这项研究中,在特别是,揭示了考虑音乐偏好的重要性进行情感识别。它表明不喜欢的音乐视频更适合用于构建情感识别,也就是,觉醒和支配。在未来,两者的综合影响音乐喜好和熟悉度对情感解码的影响可以考察为人们认为,对音乐的熟悉程度也会影响诱导情绪。此外,还可以考虑各种其他功能连接性图论测量和研究了这些特征的本质和情绪。
原文链接
https://www.scholat.com/teamwork/showPostMessage.html?id=11591