引入
随着深度学习的出现,CV领域突破很多,甚至掀起了一股CV界的创业浪潮,当次风口浪尖之时,Google岂能缺席。特贡献出FaceNet再次刷新LFW上人脸验证的效果记录。
本文是阅读FaceNet论文的笔记,所有配图均来自于论文。
转载请注明:http://blog.csdn.net/stdcoutzyx/article/details/46687471
FaceNet
与其他的深度学习方法在人脸上的应用不同,FaceNet并没有用传统的softmax的方式去进行分类学习,然后抽取其中某一层作为特征,而是直接进行端对端学习一个从图像到欧式空间的编码方法,然后基于这个编码再做人脸识别、人脸验证和人脸聚类等。
FaceNet算法有如下要点:
- 去掉了最后的softmax,而是用元组计算距离的方式来进行模型的训练。使用这种方式学到的图像表示非常紧致,使用128位足矣。
- 元组的选择非常重要,选的好可以很快的收敛。
先看具体细节。
网络架构
大体架构与普通的卷积神经网络十分相似:

如图所示:Deep Architecture就是卷积神经网络去掉sofmax后的结构,经过L2的归一化,然后得到特征表示,基于这个特征表示计算三元组损失。
目标函数
在看FaceNet的目标函数前,其实要想一想DeepID2和DeepID2+算法,他们都添加了验证信号,但是是以加权的形式和softmax目标函数混合在一起。Google做的更多,直接替换了softmax。

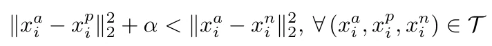
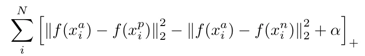
所谓的三元组就是三个样例,如(anchor, pos, neg),其中,x和p是同一类,x和n是不同类。那么学习的过程就是学到一种表示,对于尽可能多的三元组,使得anchor和pos的距离,小于anchor和neg的距离。即:

所以,变换一下,得到目标函数:

目标函数的含义就是对于不满足条件的三元组,进行优化;对于满足条件的三元组,就pass先不管。
三元组的选择
很少的数据就可以产生很多的三元组,如果三元组选的不得法,那么模型要很久很久才能收敛。因而,三元组的选择特别重要。
当然最暴力的方法就是对于每个样本,从所有样本中找出离他最近的反例和离它最远的正例,然后进行优化。这种方法有两个弊端:
- 耗时,基本上选三元组要比训练还要耗时了,且等着吧。
- 容易受不好的数据的主导,导致得到的模型会很差。
所以,为了解决上述问题,论文中提出了两种策略。
- 每N步线下在数据的子集上生成一些triplet
- 在线生成triplet,在每一个mini-batch中选择hard pos/neg 样例。
为了使mini-batch中生成的triplet合理,生成mini-batch的时候,保证每个mini-batch中每个人平均有40张图片。然后随机加一些反例进去。在生成triplet的时候,找出所有的anchor-pos对,然后对每个anchor-pos对找出其hard neg样本。这里,并不是严格的去找hard的anchor-pos对,找出所有的anchor-pos对训练的收敛速度也很快。
除了上述策略外,还可能会选择一些semi-hard的样例,所谓的semi-hard即不考虑alpha因素,即:

网络模型
论文使用了两种卷积模型:
- 第一种是Zeiler&Fergus架构,22层,140M参数,1.6billion FLOPS(FLOPS是什么?)。称之为NN1。
- 第二种是GoogleNet式的Inception模型。模型参数是第一个的20分之一,FLOPS是第一个的五分之一。
- 基于Inception模型,减小模型大小,形成两个小模型。
- NNS1:26M参数,220M FLOPS。
- NNS2:4.3M参数,20M FLOPS。
- NN3与NN4和NN2结构一样,但输入变小了。
- NN2原始输入:224×224
- NN3输入:160×160
- NN4输入:96×96
其中,NNS模型可以在手机上运行。
其实网络模型的细节不用管,将其当做黑盒子就可以了。
数据和评测
在人脸识别领域,我一直认为数据的重要性很大,甚至强于模型,google的数据量自然不能小觑。其训练数据有100M-200M张图像,分布在8M个人上。
当然,google训练的模型在LFW和youtube Faces DB上也进行了评测。
下面说明了多种变量对最终效果的影响
网络结构的不同

图像质量的不同

最终生成向量表示的大小的不同

训练数据大小的不同

对齐与否
在LFW上,使用了两种模式:
- 直接取LFW图片的中间部分进行训练,效果98.87左右。
- 使用额外的人脸对齐工具,效果99.63左右,超过deepid。
总结
- 三元组的目标函数并不是这篇论文首创,我在之前的一些Hash索引的论文中也见过相似的应用。可见,并不是所有的学习特征的模型都必须用softmax。用其他的效果也会好。
- 三元组比softmax的优势在于
- softmax不直接,(三元组直接优化距离),因而性能也不好。
- softmax产生的特征表示向量都很大,一般超过1000维。
- FaceNet并没有像DeepFace和DeepID那样需要对齐。
- FaceNet得到最终表示后不用像DeepID那样需要再训练模型进行分类,直接计算距离就好了,简单而有效。
- 论文并未探讨二元对的有效性,直接使用的三元对。
参考资料
[1] Schroff F, Kalenichenko D, Philbin J. Facenet: A unified embedding for face recognition and clustering[J]. arXiv preprint arXiv:1503.03832, 2015.
版权声明:本文为CSDN博主「张雨石」的原创文章,遵循CC 4.0 BY-SA版权协议,转载请附上原文出处链接及本声明。
原文链接:https://blog.csdn.net/stdcoutzyx/article/details/46687471