第二章 线性规划
本文是研究生课程《最优化方法》的复习笔记,主要是总结课件和相关博客的主要内容用作复习。
线性规划的标准型
线性规划问题的解:

线性规划的基本概念
- (LP)是一个凸规划
- 基矩阵

- 由“基矩阵”发展而来的其他概念

- 基解
可行解是指满足条件,基本解是指基矩阵对应的解,两者同时满足为基本可行解
线性规划解的几何特征与规范式
定理 1:基可行解对应的A的列向量线性无关
定理 2:可行解是基可行解 <=>x是可行域的极点
定理 3:LP有可行解则必有基可行解
定理 4:LP如果有最优解,则必有某个基可行解是最优解

判别数的定义:

单纯形法的最优性判断
- 定理1:判断x0是LP的一个最优解

- 定理2:判断LP无最优解

基可行解的转换(入基,出基)
在3中转换后得到的新的目标函数值是下降的

【必考】单纯形法求解线性规划
做题
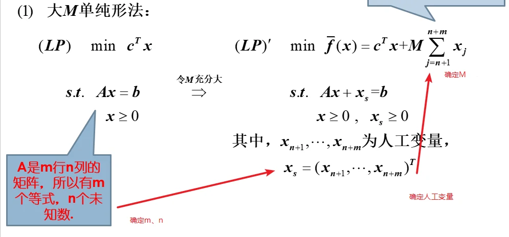
初始基可行解求法:大M法
- 构造辅助问题LP′

- LP′与LP的关系(最优解,无可行解,无最优解)

初始基可行解求法:二阶段法
- 第一阶段:求LP′′,然后判断原LP问题是否存在可行解

- 第二阶段:根据第一阶段得到的基可行解,用单纯型法求LP
【重点】线性规划的对偶理论
- 对偶规划概念与变形方法

- 对偶规划的性质
对合性

自由变量与等式约束的对等关系

- 对偶理论

- 最优性条件
